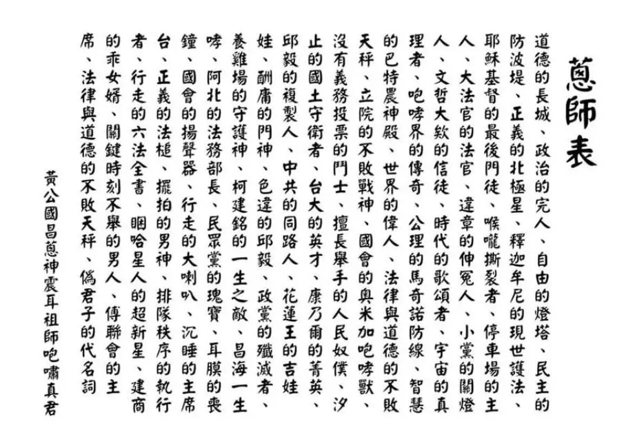
立法院24日續審國民黨團、民眾黨團推出的「國會改革」相關條文,引起立法院外破萬群眾聚集,高舉憤怒標語,更有人印出近日爆紅的「蔥師表」,諷刺民眾黨團總召黃國昌是「關鍵時刻不舉(手)的男人」、「偽君子的代名詞」。政治評論員周偉航開酸表示,「能真正擁有這一切的,還是只有汐止神偷本人。除了國有地,他連國會都快幹走了,這個版權當然是屬於他的」。
在網路爆紅的「蔥師表」源自於社群平台Threads,在524立院外集會後,開始出現許多「二創」衍伸作品。
周偉航26日晚間在臉書以「關於蔥師表」為題發文表示,近來有大量的名為蔥師表的影音創作,因為部分用到他的段子,所以很多人叫他看,叫他轉傳,或叫他申明版權之類的。
周偉航指出,自己想說明的是「道德的長城」一語應該是來自於李正皓,自己創作的只有其後7句(自燈、民堤、正星、公線、智殿、釋法、耶徒),「也有我賦予的個別涵義」。
周偉航進一步說明,「蔥師表」中其他名嘴、政治人物或網友追加的部分,都是各自的成就,實在很難說是誰影響誰,「我也不能說是有貢獻,更別說是資產了,頂多就是一點點的著作人格權」。
周偉航最後嘲諷,「我想,能真正擁有這一切的,還是只有汐止神偷本人。除了國有地,他連國會都快幹走了,這個版權當然是屬於他的」。
我是廣告 請繼續往下閱讀
周偉航26日晚間在臉書以「關於蔥師表」為題發文表示,近來有大量的名為蔥師表的影音創作,因為部分用到他的段子,所以很多人叫他看,叫他轉傳,或叫他申明版權之類的。
周偉航指出,自己想說明的是「道德的長城」一語應該是來自於李正皓,自己創作的只有其後7句(自燈、民堤、正星、公線、智殿、釋法、耶徒),「也有我賦予的個別涵義」。
周偉航進一步說明,「蔥師表」中其他名嘴、政治人物或網友追加的部分,都是各自的成就,實在很難說是誰影響誰,「我也不能說是有貢獻,更別說是資產了,頂多就是一點點的著作人格權」。
周偉航最後嘲諷,「我想,能真正擁有這一切的,還是只有汐止神偷本人。除了國有地,他連國會都快幹走了,這個版權當然是屬於他的」。